Commune de Bry
  • LA COMMUNE
    • Présentation de la commune
    • Le Conseil municipal
    • Les comptes-rendus des conseils municipaux
    • Bulletins Municipaux
    • Tourisme
    • Nous contacter
  • LES SERVICES
    • Action sociale
    • Jeunesse
    • Les règles du bien-vivre à Bry
    • Salle des fêtes et matériel communal
    • Se débarrasser des déchets
    • Entreprises et professionnels
    • Moyens de transports
    • Vigilance citoyenne
  • VIE ASSOCIATIVE ET SPORTIVE
    • Associations du village
    • Sport et activités
    • Espace Libre Partagé
  • LES DEMARCHES ADMINISTRATIVES
    • Etat civil
    • S'inscrire sur les listes électorales
    • Papiers d'identité, Autorisation sortie territoire
    • Recensement militaire
    • Véhicules
    • service-public.fr
  • TRAVAUX ET URBANISME
    • Travaux : quoi et quand déclarer ?
    • Déposez vos dossiers de travaux d'urbanisme
    • Déclarations de fin de travaux et Taxes d’Urbanisme
    • PLUi - Plan Local d'Urbanisme intercommunal
    • Scot Sambre Avesnois
    • RLPi
    • Projets et travaux de la commune
Vous êtes ici :
Accueil ›
LA COMMUNE ›
Les comptes-rendus des conseils municipaux

Conseil municipal du 11 mars 2026

logo Bry logo Bry  

Télécharger le fichier PDF "001-2026 a Convocation CM ordinaire du 11-03-2026" (141.4 Ko)
contenu du fichier
zoom  
Télécharger le fichier PDF "P.V. séance 16.12.25 arrêté au 11.03.26" (837.4 Ko)
contenu du fichier
zoom  zoom  zoom  zoom  zoom  zoom  zoom  zoom  zoom  zoom  zoom  zoom  zoom  zoom  zoom  zoom  
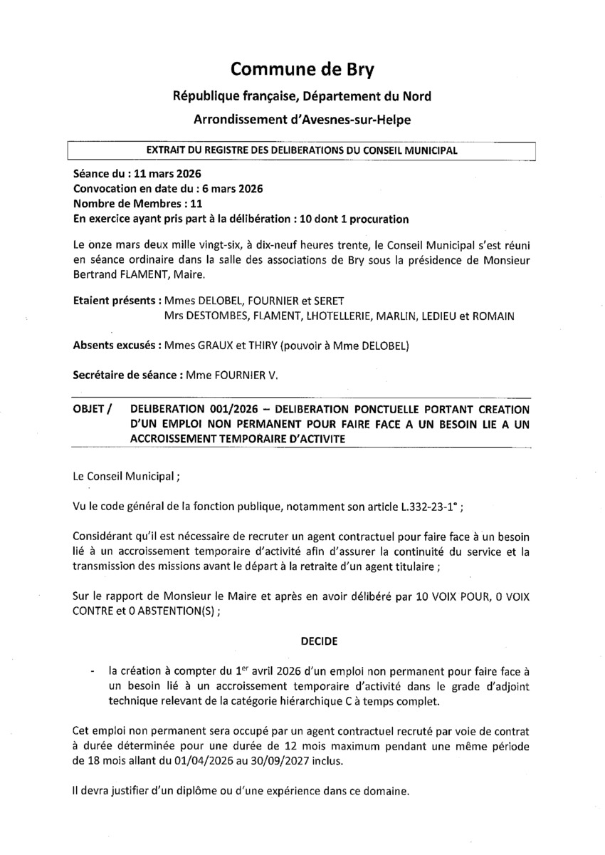
Télécharger le fichier PDF "Deliberation 001-2026" (120.7 Ko)
contenu du fichier
zoom  zoom  
Télécharger le fichier PDF "feuillet de clôture séance 11.03.26" (163.6 Ko)
contenu du fichier
zoom  
Commune de Bry
  • Mairie de Bry
  • 16 Rue de l'église, 59144 Bry

  • phone 03 27 49 73 80
  • print 03 27 49 77 02
  • email
  • Horaires d'ouverture au public
  • Nous contacter
  • Page Facebook
  • Mentions légales
  • Commune de BRY © 2017 copyright